La pandemia generó datos masivos.
La pregunta es qué revelan.
Triaje incierto
30M+ registros sin explotar
Complejidad multivariada
Línea temporal del registro
Inicio de la pandemia en México
Picos de mortalidad y variantes
Estabilización progresiva
Registro y análisis retrospectivo
Pipeline reproducible,
de datos crudos a perfiles clínicos.
Carga de datos
Exploración
Preprocesamiento
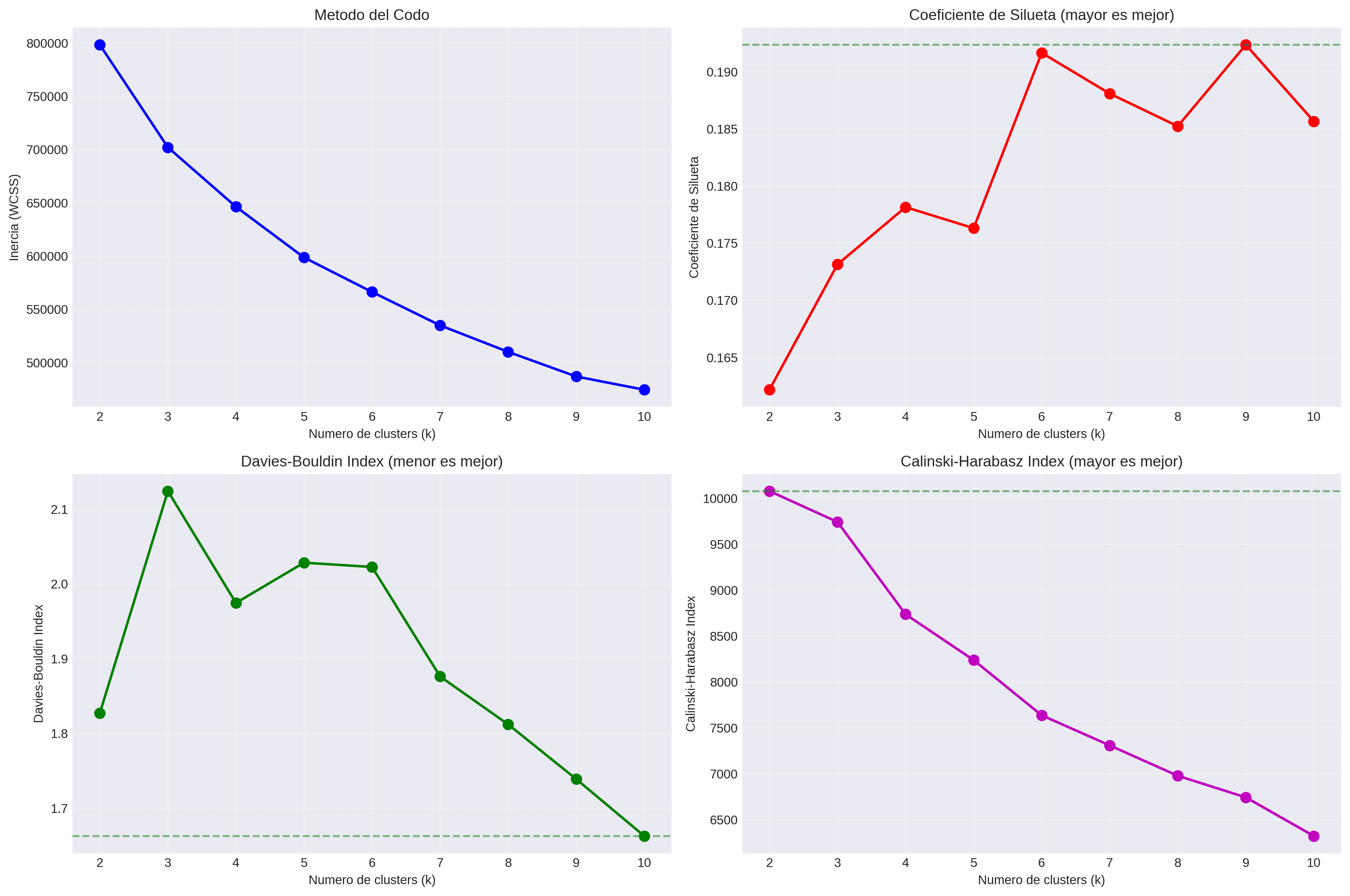
K-Means Clustering
Fuzzy C-Means
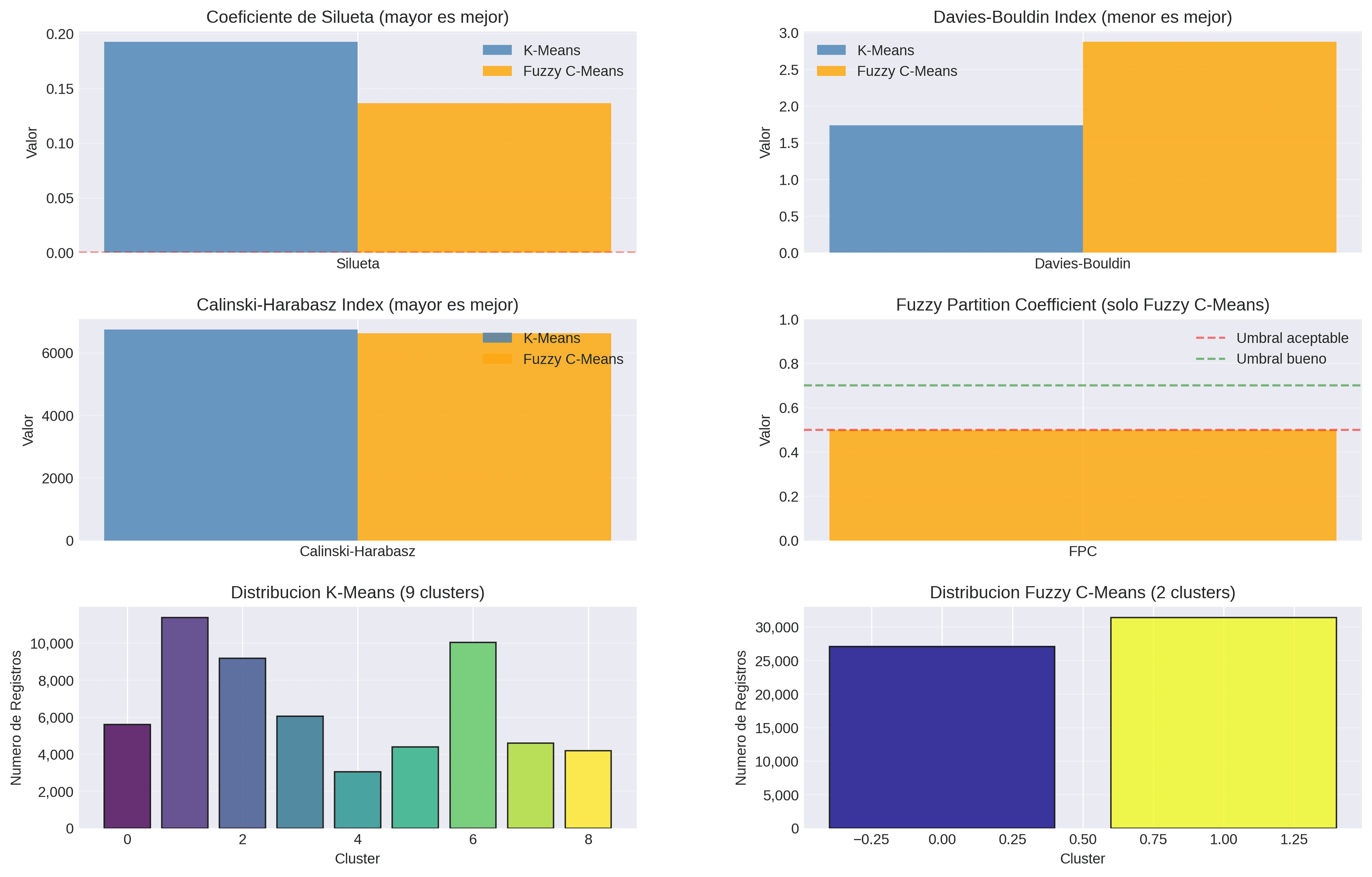
Comparación y validación
17 Variables de entrada
Estrategia de muestreo

Flujo del pipeline
Nueve perfiles clínicos revelan
la estructura oculta del riesgo.
Perfiles K-Means — Clusters principales
| Cluster | n | % | Edad μ | Hosp. | Intub. | Comor. μ | Perfil | Riesgo |
|---|---|---|---|---|---|---|---|---|
| K1 | 11,387 | 19.5% | 75.8 | 97.8% | 0% | 0.70 | Adultos mayores frágiles, hospitalizados con pocas comorbilidades registradas | |
| K7 | 4,591 | 7.8% | 68.6 | 96.6% | 5.8% | 4.05 | Mayor carga de comorbilidades del estudio: 4+ condiciones promedio | |
| K3 | 6,050 | 10.3% | 66.7 | 100% | 100% | 1.81 | 100% intubados — casos críticos en UCI, alta severidad | |
| K4 | 3,044 | 5.2% | 33.4 | 100% | 100% | 0.52 | Jóvenes intubados sin comorbilidades — severidad inesperada | |
| K6 | 10,044 | 17.2% | 37.3 | 81.6% | 0% | 0.47 | Jóvenes hospitalizados con mínimas comorbilidades | |
| K5 | 4,401 | 7.5% | 54.9 | 47.7% | 1.2% | 3.33 | Pacientes con múltiples comorbilidades, hospitalización parcial |
Comparación de métricas
Comparación PCA 2D
